Quiz Manthon | Best online quiz website Quiz Manthon | Best online quiz website
  • Home (current)
  • About us
    • About us
    • Quiz Chart
    • How to Play
  • e-Notes
    • Computer Science (11 & 12)
    • Artificial Intelligence (6 - 8)
    • Artificial Intelligence (9 & 10)
    • Information Technology (9 & 10)
    • Python (9 & 10)
    • Communication Skills (9 & 10)
    • Self-Management Skills (9 & 10)
    • ICT Skills (9 & 10)
    • Entrepreneurship Skills (9 & 10)
    • Green Skills (9 & 10)
    • Computer Fundamentals
  • Play Quiz
  • Our Services
  • BLOGS
  • Rewards
    • Earn Rewards
    • Redeem Rewards
  • Contact Us
    • Sign In/Sign Up
  1. You here
  2. List in Python | Class 11 & 12 Computer Science

Computer Science(Python)
  • String in Python
  • Introduction of String
  • String Slices
  • Functions & Methods
  • List in Python
  • Introduction of List
  • List Operations
  • True copy of List
  • Functions & Methods
  • Tuple in Python
  • Introduction of Tuple
  • Creating & Accessing Tuple
  • Tuple with mutable elements
  • Tuple Operations
  • How to modify Tuple
  • Functions & Methods
  • Dictionary in Python
  • Introduction of Dictionary
  • Ways of creating Dictionary
  • Use of Membership Operator
  • Functions & Methods
  • Function in Python
  • Introduction of Function
  • Return Statement
  • Passing Arguments / Parameters
  • Scope of Variables
  • Mutable / Immutable Objects
  • File Handling in Python
  • More Topics to learn
  • Python (9 & 10)
  • Artificial Intelligence (9 & 10)
  • Information Technology (9 & 10)
  • Communication Skills (9 & 10)
  • Self Management Skills (9 & 10)
  • ICT Skills (9 & 10)
  • Entrepreneurship Skills (9 & 10)
  • Green Skills (9 & 10)

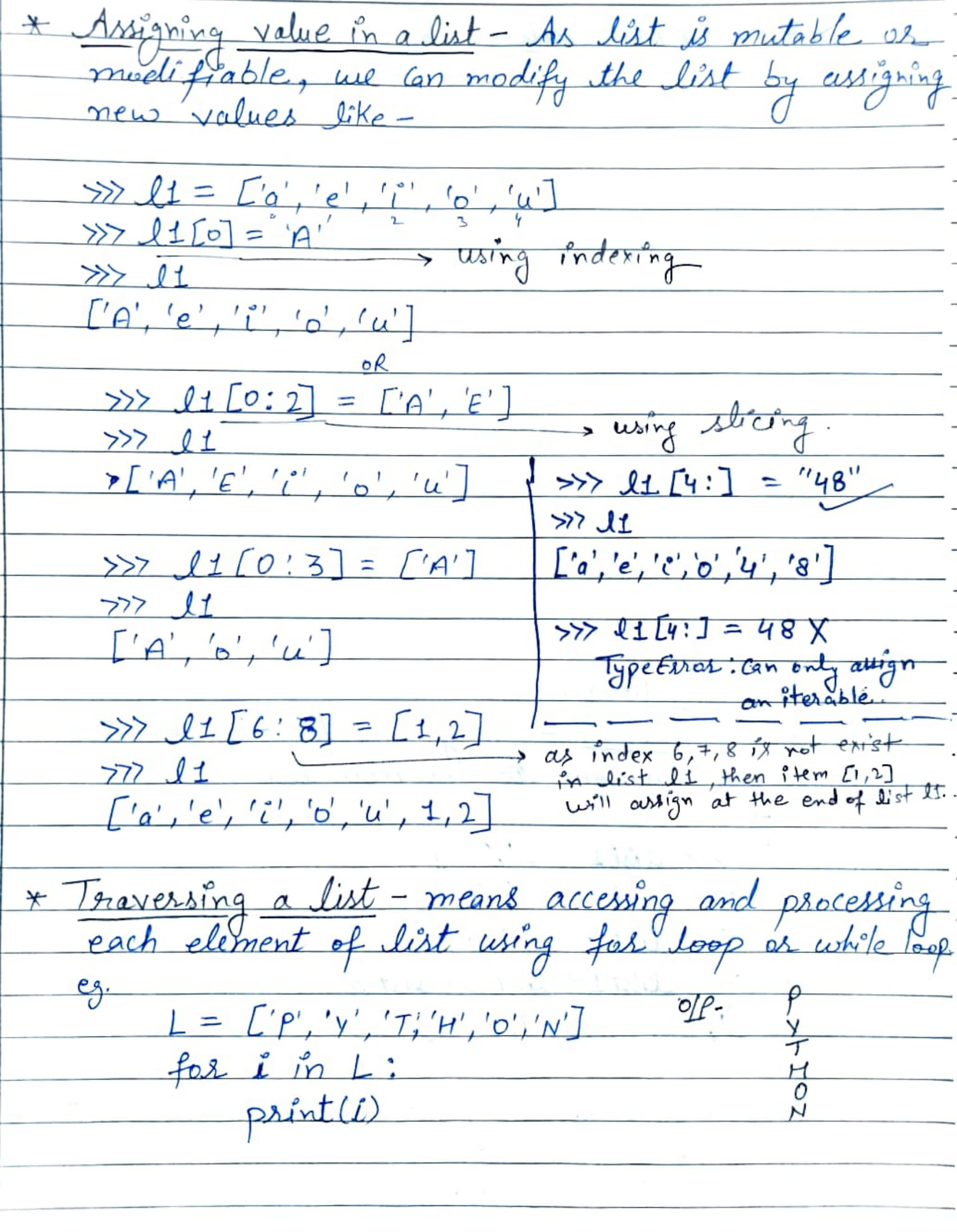
List in Python

List: A list is a mutable data type. It is group of comma separated values of any data type enclosed with square bracket [].
Example-
list1 = ["Abc", 1, 2.5, 3]

List in Python (Computer Science)
List in Python (Computer Science)
List in Python (Computer Science)

Latest Quizzes:

1. NATIONAL SPACE DAY
2. A.I. - Class 10 Entrepreneurial Skills
3. A.I. - Class 10 ICT Skills
4. A.I. - Class 10 Self Management Skills
5. A.I. - Class 10 - Introduction to AI

Easy notes on Artificial Intelligence (417) for Class 9, CBSE
CLICK HERE



Easy notes on Artificial Intelligence (417) for Class 10, CBSE
CLICK HERE



Easy notes on Information Technology (402) for Class 10, CBSE
CLICK HERE

Like us on:

Quizमंथन.com

Change Language:

Quick Links:

  • Homepage
  • Know About Us
  • View Quiz Chart
  • How to Play Quizzes
  • How to Earn Rewards
  • How to Redeem Rewards
  • Contact Us

Follow us on:

                           
Admin Only
Design & Developed by Trishika Solutions Pvt. Ltd. || 2020